Termopan

Top  Previous  Next

Termopan

BrowseBlueLeft BrowseBlueRight

Tab-ul Baza de date

 

termopan termopan

 

Conţine definirea tipurilor de termopan (care se compun din straturi). În partea dreaptă se selectează compoziţia termopanului. În tabelul din stânga se află lista cu termopane. Cu tasta <Insert> sau butonul “+” se adaugă un nou tip de termopan. Cu combinația de taste <Ctrl>+<Delete> sau butonul   “-“ se şterge un tip de termopan. Pentru ştergere nu trebuie să fiţi în editarea vreunui câmp ci să fie selectat articolul, adică să se vadă un dreptunghi întrerupt ce înconjoară tot articolul (termopanul).

 

Cod Magazie - codul umpluturii respective;

 

Denumire - denumirea umpluturii respective;

 

Grosime – indică grosimea totală a umpluturii selectate;

 

Preţ - este preţul termopanului de la furnizor, pe mp, fără TVA şi adaos propriu;

 

Preţ/mp – dacă este bifat (conţine un "X") atunci va calcula preţul termopanului în funcţie de suprafaţa şi preţul lui, (nu în funcţie de preţul straturilor)

 

Valută - valuta în care este exprimat preţ-ul;

 

Adaos % Formă Atipică - este un adaos procentual, care se aplică termopanelor cu preţ fix la mp, dacă termopanul are o formă neregulată;

 

Adaos Fix Formă Atipică - este un adaos fix, care se aplică termopanelor cu preţ fix la mp, dacă termopanul are o formă neregulată. În cazul în care un termopan are şi Adaos % Forma atipică şi Adaos Fix Forma atipică prima dată se aplică adaosul procentual, iar apoi se adună adaosul fix.

 

Suprafaţă minimă - suprafaţa minimă de calcul la termopanele cu preţ fix la mp. Tot ce va fi sub această suprafaţă va fi calculat la valoarea introdusă.

 

Procent pierdere - se poate introduce un procent de pierdere la termopanele care au preţ la mp;

 

Categorie consum – categoria de consum din care face parte (este important ca la termopane să fie introdusă categoria “Geam” cu prima literă majusculă).

 

Straturi(CodUmplutura1..5) – se pot selecta straturile din care sunt făcute geamurile (care pot fi elementele componente sau golul pe care îl ocupă geamul). În tabel apar codurile straturilor (CodUmplutura1...5), componente definite la sectiunea straturi.

 

swConsum - dacă este trecut X, se generează consum chiar dacă este preţ la mp;

 

Categorie 0...3 centralizator montaj - categoria setată aici va apărea în documentul Centralizator montaj şi greutate totală a comenzilor;

 

Grupă centralizator 0...3 - folosit la generarea tabelului pentru raportul "Centralizator montaj" în care se însumează cantitățile în funcție de grupă;

 

Culoare - culoarea umpluturii ce apare pe display şi pe ofertele tipărite;

 

DenumireVeche - în caz că se schimbă denumirea unui termopan, pentru a putea deschide ofertele vechi care au fost create cu acea denumire. La deschiderea unei asemenea oferte, WinArhi vă va avertiza că nu mai există denumirea veche şi vă va "sugera" noua denumire a termopanului.

 

Cumpărat – dacă se bifează cu X, această opţiune permite selectarea automată a sticlelor în documentul Comanda geam;

 

Gramaj - gramajul articolului exprimat în grame, necesar la calculul greutăţii totale a ferestrei şi comenzii. Dacă şi termopanul şi straturile lui intra în consum (dacă este bifat şi preţ la mp şi swConsum) atunci primează greutatea termopanului dacă este completată, altfel se folosește greutatea straturilor.

 

Transmitanţă suprafaţă - coeficientul de izolare termică a termopanului (Ug) exprimat în W/m²K;

 

TransmitanţăLiniară - coeficientul de conductivitate termică la marginea termopanului (Ψ) exprimat în W/mK. Este de fapt coeficientul de conductivitate termică al baghetei dintre colile de sticlă.

 

TransmitanțaLiniaraAl - coeficientul de conductivitate termică la marginea termopanului (Ψ) exprimat în W/mK. Este de fapt coeficientul de conductivitate termică al baghetei dintre colile de sticlă folosit pentru profilele de aluminiu.Pentru acesta este nevoie să fie specificat tipul de material al profilului.

         

Fonic_Rw - indicele de izolare la zgomot aerian al vitrajului termoizolant;

Fonic_C - factorul de corecție pentru zgomot roz ponderat al vitrajului termoizolant;

Fonic_Ctr - factorul de corectie pentru zgomot de trafic urban ponderat al vitrajului termoizolant;

Pentru explicaţia modului în care se calculeaza Rw(C,Ctr) al ferestrei în funcţie de aceşti coeficienţi, daţi clic aici.

 

Gaz - codul gazului care este în straturi. Util la filtrarea termopanelor după gaz.

 

Categorie1...6 - categorii utile la filtrarea listei de termopane;

 

selectie termopan

 

Furnizor - furnizorul articolului respectiv;

 

Ascuns - dacă este trecut X, termopanul respectiv nu apare în lista de termopane;

 

TransLuminoasa - valoarea transmitanței luminoase, pentru termopanul respectiv. Această valoare poate apărea, apoi, pe diverse documente.

 

PermLaEnergTotala - valoarea permeabilităţii la energia totală, pentru termopanul respectiv. Această valoare poate apărea, apoi, pe diverse documente.

 

DbImage - se poate alege (și defini) o imagine pentru umplutura respectivă. Se folosește la panelurile ornamentale.

 

Lăţime (min,max) Placă - lăţimea minimă şi (sau) maximă a geamului care poate fi creat;

 

Înălţime (min,max) Placă - înălţimea maximă şi (sau) minimă a geamului care poate fi creat;

 

ArePretLaBuc - se trece "X" daca termopanul se vinde la bucată, iar prețul va fi cel introdus în câmpul preț;

 

CodScriptPret - se alege scriptul de calcul al prețului termopanului. Desigur, scriptul respectiv trebuie definit în prealabil.

 

UMScript - unitatea de măsură a calculului termopanului prin script;

 

SePoateRoti - se trece "X" dacă este permisă schimbarea lățimii cu înălțimea termopanului (rotirea) în script;

 

Script verificare, CodScriptVerif - se alege scriptul care testează diverși parametrii (lățime, înălțime, greutate, etc) și returnează un mesaj de eroare dacă anumite condiții sunt adevărate sau nu;

 

Sg_FactorSolar - folosit pentru calculul factorului solar pe fereastră(geam+tâmplărie) = Sg;

 

Formula este Sw=(Sg*Ag+Sf*Af)/(Ag+Af)

 

Sw - factorul solar pe fereastră (în rapoarte: FactorSolar_Sw)

Ag – aria vitrată a ferestrei

Sg – (în rapoarte FactorSolar_Sg)

Af – aria ramei ferestrei

Sf – factorul solar al ramei (în rapoarte FactorSolar_Sf)

 

Sf=α*Uf/he  

 

α - în WinArhi, în tabelul de culori profile: alfa_FactorAbsorbtieExt (în rapoarte FactorSolar_alfa)

he = 25W/m2K

 

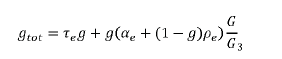
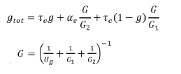
Formula factorului solar total se aplică în funcție de tipul de aplicare al accesoriului declarat în Editare accesorii>>PozițieIntExt

Exterior:

Integrat:                           Formulafactorsolarext

Formulafactorsolaintegrat

FormulafactorsolarextG

Interior:

                             

                                        Formulafactorsolainterior

                                                        FormulafactorsolainteriorG

În toate aceste ecuații:

• Te=tau - indică transmitanța solară a perdelei sau a oblonului;

• Pe=rho indică reflexia solară a perdelei sau a oblonului;

αe=alfa indică absorbția solară a perdelei sau a oblonului;

1 = Te + Pe + αe

• g indică factorul solar al geamului;

• Ug indică transmitanța termică a geamului;

• G1, G2 e G3 indică valorile fixe definite de normă;

 

 

Termen Aprovizionare - se poate seta numărul de zile necesar livrarii, această informație poate fi afișată în raportul de comandă geam, consum sau pe ofertă. Pentru afișarea pe ofertă, trebuie să mergeți la Opțiuni/Setări/Machete Rapoarte, selectați raportul de Ofertă și bifați Calculează greutatea fiecărei poziții de la Ofertare.

 

ExportWinGlass - se poate selecta, la alegere pentru fiecare termopan, daca se dorește exportul către WinGlass;

 

ExportWAEagle - se poate selecta, la alegere pentru fiecare termopan, dacă se dorește exportul catre WaEagle;

 

Zone ofertare - se stabilește o zonă de ofertare dacă se dorește ca acel termopan să fie utilizabil doar pentru o anumită zonă de ofertare, mai multe detalii aici;

 

Tip - Termopan, Panel sau Gol.

 

Tab-ul Dealer

 

În acest tab se poate defini o listă de termopane locale diferită de lista de termopane din baza de date, care poate fi salvată pe serverul WinArhi și apoi încărcată. Această listă este utilă îndeosebi dealer-ilor sau showroom-urilor care doresc să construiască ferestre și uși cu alte termopane decât cele care sunt definite în baza de date primită de la producător.

Termopane dealer apar în meniul drop-down de selecție a termopanului, la începutul listei, cu semnul "+" în față.

 

Pentru termopane dealer, în primul rând, trebuie creată "Categoria de consum" AditionalGlazing, iar apoi, în situația formării prețului trebuie introdusă această categorie de consum. După ce dealerii încarcă baza de date cu aceste modificări făcute, și cu dreptul de Editare Date Dealer bifat, ei pot să își creeze termopanele proprii și eventual să le salveze pe serverul winarhi.ro pentru a le încărca apoi și pe alte calculatoare.

 

Termopanele dealer nu se pot compune din straturi.